全国专业艺术人才评审委员会理事、中国艺术传承大师,中书协会员,国家一级美术师,骊山印社社员,陕西文促会会员,主编教育部重点教科研课题两项。
巨文刚,字樸源,号宽文居士,1976年9月生,陕西扶风人,主攻书法、国画和篆刻雕塑,现为全国专业艺术人才评审委员会理事、中国艺术传承大师,中书协会员,国家一级美术师,骊山印社社员,陕西文促会会员,主编教育部重点教科研课题两项,陕西省印章行业协会秘书长、陕西省文促会会员、语文报书法版特约书法家、山东菏泽市牡丹美术研究院名誉院长,终南书画院副院长
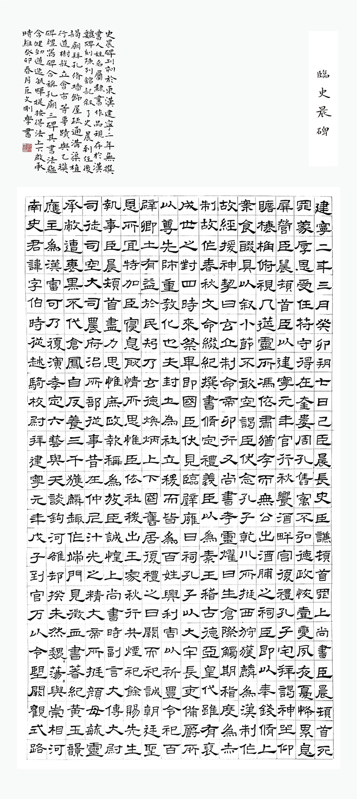
巨文刚老师书法最早取法二爨及二王钟繇,精得晋人笔法微妙,研唐楷褚柳欧颜,作品多次参展,屡获全国金奖,草书取法于张芝怀素二王,书风沉稳俊逸厚重老辣,笔法变幻莫测因篇幅时宜不同,因精于印刻,故书风有金石斧斫之味力道墨透纸背。老师曾为贾平凹先生制印为茅台董事长制印,为茅台龙粉题字,其心经,金刚经被少林寺方丈释永信于藏经阁永久编号收藏,老师作品多次在雅昌嘉德拍卖,诺贝尔化学奖获得者潘宗光先生收藏老师《心经》,巨文刚老师作品多被海内外领袖名流收藏。全国寺庙宫观多挂老师匾额题字,老师曾隐居终南山遍访世外名师隐士,与楼观台雷道长重阳宫邓道长南五台紫竹林禅师皆有往来,听山抚琴,临松煮泉,超然物外颇有意趣,老师为人低调,师从中国工艺美树大师王树昌,学印于西泠印社,不务奇巧名望,近年低调沉潜,虽公务繁忙仍花时间用心仏经译绘校勘工作,为文化传承复苏无声尽着自己微薄一份力,已数据化整理校勘数十部经书,约合数百万字,功德无量
国画润格 国内:6000/平尺,国际:15000/平尺
部分获奖参展
2000年6月入展“全国书画作品大赛”
2001年8月入展“文华杯”全国书法篆刻大赛
2003年3月编写《计算机初级应用》一书
2006年8月编写《三维格习字教程》第一版
2007年6月入展首届中国书画名人赛
2009年入编世纪风采人物第七卷。
2010年5月被中国教育家协会评为“全国优秀教师”
2010年6月楷书作品获第二届西柏坡全国书画国庆大展特别优秀奖
2010年8月书法作品《圣爱歌》入展首届“泰山杯”书画大赛
2010年9月书法作品被中国观音山书法艺术大展组委会收藏
2011年6月书法作品入展建党90周年全国书画展
2012年12月主编《中国教育牧爱》
2013年1月小楷书法完成《唐诗三百首》并成书出版
2013年3月完成20万字的小楷书法百米长卷(历时三年)
2016年6月入展一带一路全国书画大赛
2017年6月入选全国书画教师一百强
2017年7月书法《般若经》被中国嵩山少林寺收藏
2018年6月论文获全国中小学书法美术教学成果展评优秀奖
2018年8月书法《金刚经》小楷被上海华珍阁艺术馆收藏
2019年4月书法楷书《心经》被香港理工大学校长瑞典皇家科学院诺贝尔化学奖潘宗光收藏
2019年9月被贵州龙头马集团聘为品牌顾问
2020年6月被西安长安国学院聘为副院长
2021年5月论文《浅论两宋时期山水画特征》获第五届全国教育教学技能大赛一等奖
2021年被西安中国书法院聘为教育委员会委员
2021年10月论文《毛笔书法兴趣培养策略》收录于《中国教师》2021第28期
2022年10月当选为陕西省印章行业协会秘书长



















词条标签: